Skip to content

Contact: (+91) 832 225 4478 / (+91) 832 2250042

Contact: (+91) 832 225 4478 / (+91) 832 2250042

Social Media Icons

Visit Us On YoutubeVisit Us On FacebookVisit Us On InstagramVisit Us On LinkedinVisit Us On Pinterest
Saraswat College
  • About us
    • Management Executive Commitee
    • Infrastructure
      • Divyangjan
    • Office & Administration
    • Institutional Plan
    • Code of Ethics for Research
    • MOU’s for 2023-2024
  • Home
    • Principal’s Message
    • From Vice Principal’s Desk
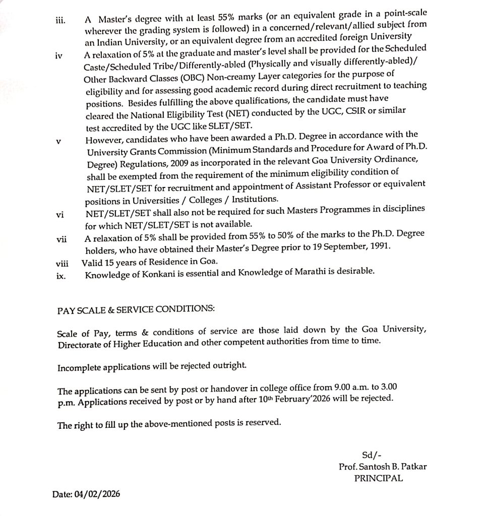
  • Recruitment
  • Academics
    • B.com
      • About B.Com Program
    • BBA
      • About Us
        • Course Director’s Foreword
        • Objective Of BBA Programme
        • Why BBA?
        • The Saraswat Edge
      • Admission
      • Staff
      • Curriculum
        • Course Structure
        • Examination Scheme
        • List Of Subjects
      • Infrastructure
        • Classroom
        • Computer Lab
        • Library
    • BCA
      • FEATURES
      • FACULTY
      • COURSE STRUCTURE
        • OLD
        • CBCS (NEW)
      • CLASS TIMETABLE
      • INFRASTRUCTURE
      • STUDENT ENRICHMENT
        • PLACEMENTS/INTERNSHIPS
        • WORKSHOPS/GUEST LECTURES
        • INDUSTRY VISITS
        • ADDITIONAL COURSES
        • STUDENT ACHIVEMENTS
      • EXAMINATION
        • EXAMINATION NOTICE
        • TIME TABLE
        • RESULT
      • ACADEMIC PLANNER
    • Placement
    • PhD
    • Certificate And Skill Based Courses
    • Outcomes
  • Faculty
    • Faculty Profile
    • Code of Conduct
  • Students
    • Pay Fees Online
    • Examination
      • Academic Performance
      • Examination Notice
      • Results
      • Time Table
    • Class Time Table
    • Code of Conduct
    • Bonafide, Transfer & Migration Certificate
    • Scholarships & Freeships
    • Student Support
    • Swayam
    • Student Council
  • Admission
    • Prospectus 2026-27
      • BCOM
      • BBA
      • BCA
  • Statutory
    • Anti-Ragging Cell
    • Prevention of Sexual Harassment
    • Grievance Redressal Cell
    • Right to Information
    • Professional Code (Goa University)
    • Policy for PwD
  • Alumni
    • Alumni Executive Committee
    • Alumni Registration
  • Library
    • About Library
    • Library Collections
    • E-resources
      • N-LIST
      • IBEF
      • World Library
      • National Digital Library
      • Abhilekh Patal
      • EPWRF
      • DELNET
      • OPAC
      • Goa Printing Press
      • Research papers in Economics
      • Question Papers
      • Syllabus
      • E-Newspapers
    • NEWSLETTER
  • Research and Consultancy
  • Activity Reports
  • NIRF
  • NAAC
  • IQAC
  • ARIIA
  • College Policies
    • ANTI – RAGGING
    • STUDENT GRIEVANCE REDRESSAL
    • SEXUAL HARRASSMENT
    • RESOURCE MOBILIZATION
    • COMPUTER LAB MAINTENCE AND UTILIZATION
    • SCHOLARSHIP
  • PTA
  • Contact Us
  • Events
  • Feedback Report
    • Feedback report 2023-24
© 2026 Caculo College